상관분석(correlation analysis)
상관분석이란 두 변량 간에 존재하는 상관관계(선형 또는 비선형적인 종속관계)의 강도를 측정하는 일련의 방법이다.
두 변량 간의 상관관계를 조사하기 위해서는 산점도 작성이 필요하다. 산점도에서 두 변량 간의 관계가 대체로 직선적인 경우는 상관계수(correlation coefficient)를 계산하여 그 상관의 정도를 파악할 수 있다. 만약 두 변량 간의 관계가 곡선적인 경향을 보이는 경우는 상관의 정도를 상관비(correlation ratio)로 계산한다.
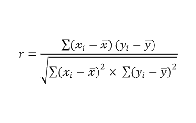
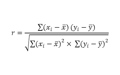
표본상관계수(sample correlation coefficient)


1) r의 값은 -1보다 크거나 같고 1보다 작거나 같다.
2) r=0일 때 두 변량은 무상관이다.
3) r이 0보다 크고 1보다 작을 때, 두 변량의 관계는 한쪽이 증가(감소)하면 다른 쪽 변량도 증가(감소)하는 비례적인 관계를 나타내는데, 이러한 경우를 양(선형)상관(positive linear correlation)이라 한다.
4) r이 -1보다 크고 0보다 작을 때, 두 변량의 관계는 한쪽이 증가(감소)하면 다른 쪽 변량은 역으로 감소(증가)하는 반비례적인 관계를 나타낸다. 이때 두 변량 사이의 상관을 음(선형)상관(negative linear correlation)이라 한다.
5) 산점도에서 두 변량의 측정값들이 일직선상에 놓여 있을 때 r은 +- 1이 된다. 이때 두 변량 사이의 상관은 완전(선형)상관(perfect linear correlation)이라 하고, r=1인 경우 양의 완전(선형)상관, r=-1인 경우 음의 완전(선형)상관이라 한다.
'Mathematics > Statistics' 카테고리의 다른 글
| [Statistics] 확률과 확률분포 - 시행, 사건, 확률함수, 표본공간 (0) | 2023.08.02 |
|---|---|
| [Statistics] 기술통계: 이변량 자료의 정리 - 단순선형회귀분석(simple linear regression analysis) (0) | 2023.07.25 |
| [Statistics] 기술통계: 일변량 자료의 분석 - 상자그림과 이상값 (2) | 2023.05.27 |
| [Statistics] 기술통계: 일변량 자료의 분석 - 표준점수 (0) | 2023.05.27 |
| [Statistics] 기술통계: 일변량 자료의 분석 - 왜도(비대칭도)와 첨도(꼬리부분의 두꺼움 정도) (0) | 2023.05.27 |