반응형
표준점수(Standard Score, Z score)
어느 학생이 수능시험을 치른 후 얻은 점수가 어느 정도 수준인지 알고자 할때 표준점수(Z score)는 그 학생의 점수가 다른 학생들과 비교해 어느 정도인지를 나타내는 상대적인 위치를 나타내는 측도로 사용된다.
<표준점수>
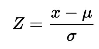
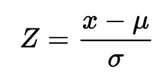
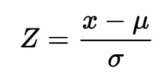
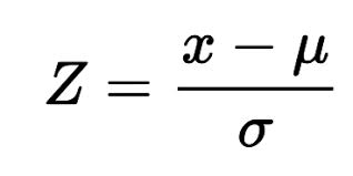
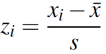
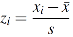
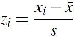
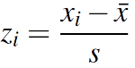
어느 자료의 평균과 분산을 알고 있을 때 그 자료의 i번째 측정값 xi의 표준점수는 다음과 같다.
· 모집단 자료의 경우

· 표본자료인 경우

표준점수는 측정단위가 없는 단순한 숫자이며, 이러한 이유로 표준점수는 서로 다른 분포를 가진 자료의 측정값들을 상호 비교하는 데에도 사용된다.
실제 표준점수가 활용되는 예시를 예제를 통해 알아보자.
| 예제 1 갑은 SAT의 수학부문에서 700점을 기록했고, 을은 CPT(College Placement Test)의 수학부문에서 24점을 받았다. SAT 수학점수의 평균과 표준편차는 500점과 100점이고, CPT 수학점수의 평균과 표준편차는 각각 18점과 6점이었다. 두 시험이 모두 학생의 수학에 대한 능력을 시험하는 것이라고 가정한다면, 두 학생 중에서 어느 학생이 더 시험 석차가 좋은가? |
| 갑의 표준점수(Z score): (700-500)/100 = 2 을의 표준점수(Z score): (24-18)/6 = 1 갑은 SAT 수학 평균점수보다 표준편차의 2배 더 높은 점수를 받았고, 을은 CPT 수학 평균점수보다 표준편차의 1배 더 높은 점수를 받았다. 따라서 갑이 을보다 더 좋은 석차를 기록했음을 확인할 수 있다. |
'Mathematics > Statistics' 카테고리의 다른 글
| [Statistics] 기술통계: 이변량 자료의 정리 - 상관분석(correlation analysis) (0) | 2023.07.25 |
|---|---|
| [Statistics] 기술통계: 일변량 자료의 분석 - 상자그림과 이상값 (2) | 2023.05.27 |
| [Statistics] 기술통계: 일변량 자료의 분석 - 왜도(비대칭도)와 첨도(꼬리부분의 두꺼움 정도) (0) | 2023.05.27 |
| [Statistics] 기술통계: 일변량 자료의 분석 - 산포도를 나타내는 통계값 (0) | 2023.05.26 |
| [Statistics] 기술통계: 일변량 자료의 분석 - 자료의 위치점 (0) | 2023.05.23 |