행렬 - Matrix
기본 용어
행렬(matrix): 수나 문자를 직사각형 형태로 나타낸 것, 행렬의 크기는 행수 x 열수

행(row): 행렬의 가로줄 → m
열(column): 행렬의 세로줄 → n
→ 즉 (m, n의 성분을 주로 aₘₙ과 같이 나타냄)
주대각선(main diagona): 행렬의 왼쪽 위에서 오른쪽 아래를 가르는 선
→ 모든 행렬은 그 행렬의 성분 값에 상관없이 주 대각선을 갖는다.

n차 행렬, n차 정방행렬:만약 행과 열의 수가 똑같은 N x N 형태의 행렬


→ (1, 2)의 성분=3, (2,3)의 성분=7


→ (2, 1)의 성분=-1, (2, 2)의 성분=1

전치행렬(transposed matrix)
전치행렬: 각 행을 열로 바꾼 행렬 A → Aᵀ


대칭행렬(symmetric matrix)
대칭행렬: 대칭행렬이 자기 자신과 같은 행렬
→ A는 대칭행렬 ↔ Aᵀ=A
대칭행렬의 특징
- 항상 행렬의 형태는 정사각형의 형태여야 함
- 대각성분에 대해 대칭적으로 생긴 행렬


증명

대각행렬(diagonal matrix)
대각행렬: 대각성분이 아닌 모든 성분이 0인 행렬
→ 대각성분은 0이어도 됨
→ 대각성분에 대해서 대칭으로 생겼으므로 대칭행렬임

단위행렬(unit matrix, identity matrix: I) → 매우 중요
단위행렬: 대각성분들만 전부 1이고 나머지는 0인 행렬
→ 단위행렬 I는 정수에서 1과 같은 역할이므로 매우 중요함!


영행렬(zero matrix, null matrix: O)
영행렬: 모든 성분이 0인 행렬


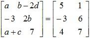
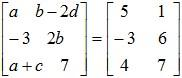
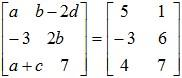
A=B (Equality of matrix)

→ a=5, b=3, c=-1, d=1
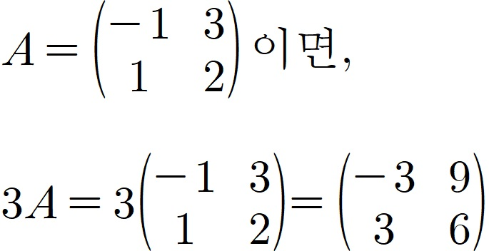
행렬의 실수배, 덧셈, 뺄셈 ← 같은 크기의 행렬끼리만 연산 가능!
행렬의 실수배: 모든 성분에 각각 실수배만큼 곱해줌


행렬의 덧셈과 뺄셈: 같은 위치에 있는 성분들끼리 더하거나 뺌


학습 자료 다운로드
'Mathematics > Linear Algebra' 카테고리의 다른 글
| [Linear Algebra] 역행렬(Inverse matrix) (0) | 2023.08.11 |
|---|---|
| [Linear Algebra] SVD(특이값 분해) (0) | 2023.08.04 |
| [Linear Algebra] 다차원 배열의 계산 (0) | 2023.06.16 |
| [Linear Algebra] 벡터의 내적과 노름 (0) | 2023.05.05 |
| [Linear Algebra] 스칼라, 벡터, 행렬, 텐서 (0) | 2023.05.04 |